2017年02月14日
バレンタインにチョコを送ることになったのは製菓会社の狙いだったそうですが、チョコにはフェニルエチルアミンという、医学的に恋愛感情の源である事が証明された脳内神経伝達物質が、極少量ですが含まれているそうです。しかしその効果はすぐ消える為、もし告白するなら相手の口にチョコをつっこみその場で告白することをおすすめします。(twitterより抜粋)※実際にやらないで下さい

いつもお世話になっております。
森羅万象の特異点、フォーデイズ宮城サロンブログでございます。
本日はバレンタインデーですね。
冒頭はバレンタインの小ネタでしたが、皆様にお伝えしたかったのは他でもありません。
今月はシーズンプレゼント月です!
2月のオープンセミナー(SS,FS,CS)に参加すると、
「ムーサ イオ クリーミィ リップスティック」をプレゼントします!

フォーデイズ宮城サロン
「俺、自分の運命を恨んでるんだ」
「私と出会えたのに?」
「いままで君に出会えなかった自分の運命を」
あまーい!!! byスピードワゴン
なんてことにならないよう、
この機会にぜひお声掛けをして頂きオープンセミナーへお連れしてください。
※宮城サロンの駐車場には数に限りがあります。
大変恐れ入りますが、ご来場される皆様には近隣の駐車場にお停め頂いたり、
公共交通機関を利用して頂く、または乗り合いでお越し頂けたら幸いでございます。
皆様のご協力をお願い致します。
もう一つ、ご紹介です。
紙コップの節約をしようという会員様より、
素晴らしいご提案がありましたので、
宮城サロンにマイカップ持参コーナーを設けました。

中には手作りタンブラーも。


フォーデイズ愛が伝わりますね。
ご協力頂いている皆様いつもありがとうございます。
スペースが足りなくなれば、増設しますのでお声掛けください。
宮城サロンはみんなのサロンです。
また何かお気づきのことがあればなんなりとお申し付けください。
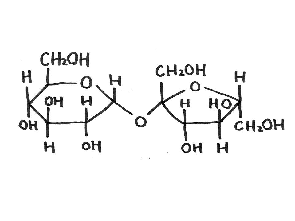
最後に、チョコレートに入ってる砂糖、いわゆるスクロースですが、
その分子構造が2人で手を繋いでいるようにしか見えなかったので
思わず書いてみました。ご覧ください。

なんだかほっこりしますね。
それでは本日のブログはここまで!
いち、にっ、ぐっじょぶ!!

いつもお世話になっております。
森羅万象の特異点、フォーデイズ宮城サロンブログでございます。
本日はバレンタインデーですね。
冒頭はバレンタインの小ネタでしたが、皆様にお伝えしたかったのは他でもありません。
今月はシーズンプレゼント月です!
2月のオープンセミナー(SS,FS,CS)に参加すると、
「ムーサ イオ クリーミィ リップスティック」をプレゼントします!

フォーデイズ宮城サロン
「俺、自分の運命を恨んでるんだ」
「私と出会えたのに?」
「いままで君に出会えなかった自分の運命を」
あまーい!!! byスピードワゴン
なんてことにならないよう、
この機会にぜひお声掛けをして頂きオープンセミナーへお連れしてください。
※宮城サロンの駐車場には数に限りがあります。
大変恐れ入りますが、ご来場される皆様には近隣の駐車場にお停め頂いたり、
公共交通機関を利用して頂く、または乗り合いでお越し頂けたら幸いでございます。
皆様のご協力をお願い致します。
もう一つ、ご紹介です。
紙コップの節約をしようという会員様より、
素晴らしいご提案がありましたので、
宮城サロンにマイカップ持参コーナーを設けました。

中には手作りタンブラーも。


フォーデイズ愛が伝わりますね。
ご協力頂いている皆様いつもありがとうございます。
スペースが足りなくなれば、増設しますのでお声掛けください。
宮城サロンはみんなのサロンです。
また何かお気づきのことがあればなんなりとお申し付けください。
最後に、チョコレートに入ってる砂糖、いわゆるスクロースですが、
その分子構造が2人で手を繋いでいるようにしか見えなかったので
思わず書いてみました。ご覧ください。

なんだかほっこりしますね。
それでは本日のブログはここまで!
いち、にっ、ぐっじょぶ!!
